بِسْمِ اللَّهِ الرَّحْمَنِ الرَّحِيمِ
Pada pembahasan kali ini saya akan memberikan informasi mengenai materi matematika kelas X SMA yang berkaitan dengan pangkat rasional dan bentuk akar. Diantara materi yang akan saya bawakan terdapat beberapa point besar yaitu pengertian bilangan berpangkat dan bilangan berakar, 9 sifat-sifat bilangan berpangkat, operasi aljabar pada bentuk akar, cara menarik akar kuadrat, dan mersionalkan penyebut pecahan.
APA SIH BILANGAN BERPANGKAT & BERAKAR ITU??
Secara sederhana, bilangan berpangkat dapat didefinisikan sebagai suatu bilangan yang jika dikalikan sebanyak n dengan bilangan itu sendiri akan menghasilkan nilai pangkat sebanyak (n+1). Contohnya jika bilangan 3 dikalikan dengan 3(bilangan itu sendiri) sebanyak 2 kali, maka bilangan 3 memiliki nilai pangkat sebesar 2+1 = 3 dan bisa kita sebut 3 pangkat 3. Dengan bentuk matematikanya = 3 x 3 x 3 =
.
.
Lalu bagaimana dengan bilangan berakar? apakah mempunyai akar dikakinya? oh tentu tidak. Jadi bilangan berakar merupakan bilangan yang memiliki nilai pangkat yang berupa pecahan. Contohnya bilangan 3 yang memiliki nilai pangkat 0.5 atau 1/2 akan memiliki nilai akar 2 dan tampilan bentuk akar
. Namun, untuk kekhususan pada nilai akar 2 saja, biasanya angka 2 tidak dituliskan pada bagian atas akar, tetapi dibiarkan seperti ini
. Nah, sudah mengerti bukan? tentunya bilangan berpangkat memiliki beberapa sifat yang dapat kita gunakan dalam menyelesaikan persamaan-persamaannya.
. Namun, untuk kekhususan pada nilai akar 2 saja, biasanya angka 2 tidak dituliskan pada bagian atas akar, tetapi dibiarkan seperti ini
. Nah, sudah mengerti bukan? tentunya bilangan berpangkat memiliki beberapa sifat yang dapat kita gunakan dalam menyelesaikan persamaan-persamaannya. SIFAT-SIFAT BILANGAN AKAR
OPERASI ALJABAR PADA BENTUK AKAR
1, Perkalian
2. Pembagian
3. Penjumlahan
4. Pengurangan
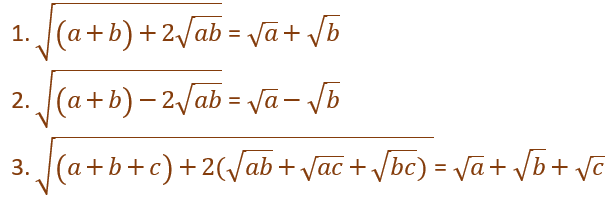
MENARIK AKAR KUADRAT
Keterangan :
MERASIONALKAN PENYEBUT PECAHAN
Bagian penyebut pecahan dirasionalkan dengan cara mengalikan pecahan tersebut dengan bentuk sekawannya.
Demikianlah pembahasan kali ini, semoga rumus-rumus diatas mempermudah dalam mengerjakan soal-soal persamaan yang berkaitan dengan pangkat rasional dan bentuk akar dalam mengerjakan soal latihan maupun ulangan.
Thank You For Reading :))
Visit my blog at : http://myeducationdayfy.blogspot.co.id
And Don't Forget to Like, Comment, and Share To Your friends :))
Visit my blog at : http://myeducationdayfy.blogspot.co.id
And Don't Forget to Like, Comment, and Share To Your friends :))







bukan ini pak yang saya maksud angka biasa yang berpangkat kaya 2 pangkat setengah atau 1/2
ReplyDeleteSalma Febriyanti
ReplyDelete